44444免费观看高清电视剧直播_z〇zoz〇女人另类zoz〇_色卡网站免费大全_19岁在线观看免费高清完整版韩剧

歡迎光臨南京試劑! 登錄| 注冊|
證券簡稱:南京試劑    證券代碼:833179
南京試劑-化學試劑,實驗試劑,分析試劑,試劑網
首頁 > 產品 > 試劑 > 醫藥中間體 > C06820496
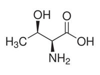
中文名稱D-別蘇氨酸 描述 D-別蘇氨酸,96%(HPLC)
英文名稱D(-)-allo-Threonine 品牌南試
別名:2R;3R)-2-氨基-3-羥基丁酸;D-別蘇氨酸;H-D-ALLO-THR-OH;D-ALLO-蘇氨酸
CAS編號: 24830-94-2
分子式:C4H9NO3
分子量:119.12
MDL編號:MFCD00004526
商品編號 規格 銷售價格 折扣價格 可用庫存 單位 購買數量
C0682049668 96%(HPLC), 250mg ¥ 58.8 ¥ 58.8 點擊訂購

C0682049667 96%(HPLC), 1g ¥ 70.6 ¥ 70.6 點擊訂購

大包裝詢價
    • 熔點: 276℃
    • 貯存: 密閉陰涼保存。
  • MSDS下載
    暫無數據
    安全信息
    符號:
    危害碼: Xi
    風險聲明: 24/25
  • 技術指標:

    • 含量 -------- 96%(HPLC)

    技術支持:

    我們的專家團隊在化學試劑、藥用輔料、催化劑及助劑、定制化學品以及其他各種研究領域都擁有豐富的經驗。

    聯系客服

    大包裝訂購與詢價:

    您的研發、生產或科研需要大批量訂購?

    大包裝訂購與詢價聯系客服

  • 如果沒有找到,請【聯系客服】
相關產品推薦

C06820496 D-別蘇氨酸,96%(HPLC)

C06820397 L-別蘇氨酸,95%(HPLC)

C06820406 D-蘇氨酸,BR,98.5%

C18035694 Fmoc-D-別異亮氨酸,98%(HPLC)

C18085393 芴甲氧羰基-O-叔丁基-D-蘇氨酸,99%(HPLC)

C06811793 L-蘇氨酸,99%

C18006114 DL-蘇氨酸,BR,95%

C06819994 D-酪氨酸,98%

C06819706 D-丙氨酸,BR

C06841294 D-正亮氨酸,98%(HPLC)

  • 商品編號
  • 購買數量