44444免费观看高清电视剧直播_z〇zoz〇女人另类zoz〇_色卡网站免费大全_19岁在线观看免费高清完整版韩剧

歡迎光臨南京試劑! 登錄| 注冊|
證券簡稱:南京試劑    證券代碼:833179
南京試劑-化學試劑,實驗試劑,分析試劑,試劑網
首頁 > 產品 > 試劑 > 通用試劑 > C06811793
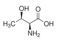
中文名稱L-蘇氨酸 描述 L-蘇氨酸,99%
英文名稱Threonine 品牌南試
別名:L-α-氨基-β-羥丁酸;(2S;3R)-2-氨基-3-羥基丁酸
CAS編號: 72-19-5
分子式:CH3CH(OH)CH(NH2)COOH
分子量:119.12
EINECS編號:200-774-1
MDL編號:MFCD00064270
商品編號 規格 銷售價格 折扣價格 可用庫存 單位 購買數量
C0681179343 99%, 25g ¥ 34.0 ¥ 34.0 >10

大包裝詢價
    • 產品介紹: 溶于水,不溶于無水乙醇、乙醚和氯仿等大多數有機溶劑。半數致死量(大鼠,腹腔)3098mg/kg.水中溶解度:90g/L(20℃)
    • 用途: 生化研究。制備組織培養基。
    • 比旋光度: -28°(C=6,H2O)
    • 可溶性: 溶于水
    • 貯存: 密封干燥保存。
  • MSDS下載
    暫無數據
    安全信息
    符號:
    安全聲明: S24/25
  • 技術指標:

    • 含量 -------- 99%

    技術支持:

    我們的專家團隊在化學試劑、藥用輔料、催化劑及助劑、定制化學品以及其他各種研究領域都擁有豐富的經驗。

    聯系客服

    大包裝訂購與詢價:

    您的研發、生產或科研需要大批量訂購?

    大包裝訂購與詢價聯系客服

  • 如果沒有找到,請【聯系客服】
相關產品推薦

C06820397 L-別蘇氨酸,95%(HPLC)

C06811793 L-蘇氨酸,99%

C06820496 D-別蘇氨酸,96%(HPLC)

C06820406 D-蘇氨酸,BR,98.5%

C18006114 DL-蘇氨酸,BR,95%

C18085393 芴甲氧羰基-O-叔丁基-D-蘇氨酸,99%(HPLC)

C06820194 L-甲硫氨酸,98%

C06820294 L-高絲氨酸,98%

C06821194 L-正白氨酸,98%(HPLC)

C06820993 L-丙氨酸,99%(HPLC)

  • 商品編號
  • 購買數量