44444免费观看高清电视剧直播_z〇zoz〇女人另类zoz〇_色卡网站免费大全_19岁在线观看免费高清完整版韩剧

歡迎光臨南京試劑! 登錄| 注冊|
證券簡稱:南京試劑    證券代碼:833179
南京試劑-化學試劑,實驗試劑,分析試劑,試劑網
首頁 > 產品 > 試劑 > 通用試劑 > C18016994
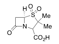
中文名稱舒巴坦酸 描述 舒巴坦酸
英文名稱Sulbactam 品牌南試
別名:青霉砜;舒巴坦酸
CAS編號: 68373-14-8
分子式:C8H11NO5S
分子量:233.24
EINECS編號:269-878-2
MDL編號:MFCD00867005
商品編號 規格 銷售價格 折扣價格 可用庫存 單位 購買數量
C1801699467 1g ¥ 212.0 ¥ 212.0 預交貨期
3-7周

大包裝詢價
    • 用途: β-內酰胺酶抑制劑,對青霉素酶和頭孢菌素酶有強的不可逆的抑制作用。其抗菌活性很弱,故很少單獨使用,常和其它β-內酰胺類抗生素聯合使用,有明顯的Chemicalbook協同作用,對多數耐藥菌均有效。和頭孢哌酮配成復合制劑舒爾哌酮(Sulperzon)用于治療耐藥菌的感染;和氨芐青霉素配成復合制劑復合氨芐青霉素。
    • 熔點: 154-157℃
    • 沸點: 567.7±50.0℃
    • 密度: 1.62
    • 比旋光度: D20 +251° (c = 0.01 in pH 5.0 buffer)
    • 可溶性: DMSO 47 mg/mL;Water 47 mg/mL;Ethanol 47 mg/mL
    • 貯存: 儲存溫度2-8℃
  • MSDS下載
    暫無數據
    安全信息
    符號: GHS07
    信號詞: Warning
    危險聲明: H302
    WGK德國: 3.0
  • 技術指標:

    技術支持:

    我們的專家團隊在化學試劑、藥用輔料、催化劑及助劑、定制化學品以及其他各種研究領域都擁有豐富的經驗。

    聯系客服

    大包裝訂購與詢價:

    您的研發、生產或科研需要大批量訂購?

    大包裝訂購與詢價聯系客服

  • 如果沒有找到,請【聯系客服】
相關產品推薦

C18016994 舒巴坦酸

C01339694 阿維巴坦鈉,98%

C04221294 舒布硫胺

C09917094 替米沙坦

C09917494 阿瑞匹坦

C09918795 布瓦西坦

C06116594 利巴韋林,98%

C09918094 非布索坦

C09918394 阿斯巴甜,98%

C09918694 卡比多巴,98%

  • 商品編號
  • 購買數量