44444免费观看高清电视剧直播_z〇zoz〇女人另类zoz〇_色卡网站免费大全_19岁在线观看免费高清完整版韩剧

歡迎光臨南京試劑! 登錄| 注冊|
證券簡稱:南京試劑    證券代碼:833179
南京試劑-化學試劑,實驗試劑,分析試劑,試劑網
首頁 > 產品 > 試劑 > 醫藥中間體 > C18005794
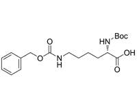
中文名稱N-Boc-N'-Cbz-L-賴氨酸 描述 N-Boc-N'-Cbz-L-賴氨酸,98%(HPLC)
英文名稱Boc-L-Lys(Z)-OH 品牌南試
別名:Nα-BOC-Nε-CBZ-L-賴氨酸
CAS編號: 2389-45-9
分子式:C19H28N2O6
分子量:380.44
EINECS編號:219-221-0
MDL編號:MFCD00065584
商品編號 規格 銷售價格 折扣價格 可用庫存 單位 購買數量
C1800579467 98%(HPLC), 1g ¥ 56.5 ¥ 56.5 點擊訂購

C1800579451 98%(HPLC), 5g ¥ 105.9 ¥ 105.9 點擊訂購

大包裝詢價
    • 產品介紹: 白色粉末
    • 用途: 是一種N-末端保護的氨基酸,用于固相肽合成(SPPS),使肽含有Nepsilon的保護賴氨酰側鏈。
    • 熔點: 75-79℃
    • 密度: 1.176
    • 折射率: -8°(C=2.5, AcOH)
    • 貯存: 2-8℃
  • MSDS下載
    暫無數據
    安全信息
    符號:
    安全聲明: S24/25
    WGK德國: 3.0
  • 技術指標:

    • 含量 -------- 98%(HPLC)

    技術支持:

    我們的專家團隊在化學試劑、藥用輔料、催化劑及助劑、定制化學品以及其他各種研究領域都擁有豐富的經驗。

    聯系客服

    大包裝訂購與詢價:

    您的研發、生產或科研需要大批量訂購?

    大包裝訂購與詢價聯系客服

  • 如果沒有找到,請【聯系客服】
相關產品推薦

C18005794 N-Boc-N'-Cbz-L-賴氨酸,98%(HPLC)

C18005494 N-Fmoc-N'-Boc-L-賴氨酸,98%(HPLC)

C18005594 N-Fmoc-N'-Boc-L-鳥氨酸,98%(HPLC)

C08267094 CBZ-L-賴氨酸甲酯鹽酸鹽,98%

C06860794 Nε-芐氧羰基-L-賴氨酸,98%(HPLC)

C18045694 Fmoc-N'-乙?;?L-賴氨酸,98%(HPLC)

C06860694 Nα-芐氧羰基-L-賴氨酸,98%(HPLC)

C06866194 Boc-N-甲基-L-丙氨酸,98%(GC)

C06867694 Nε-三氟乙?;?L-賴氨酸,98%(HPLC)

C06899393 Nε-芴甲氧羰基-Nα-叔丁氧羰基-L-賴氨酸,99%(HPLC)

  • 商品編號
  • 購買數量