44444免费观看高清电视剧直播_z〇zoz〇女人另类zoz〇_色卡网站免费大全_19岁在线观看免费高清完整版韩剧

歡迎光臨南京試劑! 登錄| 注冊|
證券簡稱:南京試劑    證券代碼:833179
南京試劑-化學試劑,實驗試劑,分析試劑,試劑網
首頁 > 產品 > 試劑 > 通用試劑 > C16076493
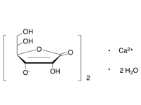
中文名稱L-抗壞血酸鈣二水合物 描述 L-抗壞血酸鈣二水合物
英文名稱Calcium L-ascorbate dihydrate 品牌南試
別名:抗壞血酸鈣
CAS編號: 5743-28-2
分子式:C12H14CaO12·2H2O
分子量:426.34
EINECS編號:227-261-5
MDL編號:MFCD00149216
商品編號 規格 銷售價格 折扣價格 可用庫存 單位 購買數量
C1607649343 25g ¥ 38.0 ¥ 38.0 預交貨期
3-7周

大包裝詢價
    • 用途: 抗壞血酸鈣主要用作抗氧化劑、營養增補劑、護色劑。可用于湯、羹類食品及肉制品中。添加到食品中不改變原食品味道。
    • 熔點: 166℃
    • 比旋光度: [α]D20 +95~+98° (c=2.5, H2O)
    • 貯存: Inert atmosphere,Room Temperature
  • MSDS下載
    暫無數據
    安全信息
    符號:
    WGK德國: 1.0
  • 技術指標:

    技術支持:

    我們的專家團隊在化學試劑、藥用輔料、催化劑及助劑、定制化學品以及其他各種研究領域都擁有豐富的經驗。

    聯系客服

    大包裝訂購與詢價:

    您的研發、生產或科研需要大批量訂購?

    大包裝訂購與詢價聯系客服

  • 如果沒有找到,請【聯系客服】
相關產品推薦

C16076493 L-抗壞血酸鈣二水合物

C00515550 藥用磷酸氫鈣二水合物

C00515551 藥用磷酸氫鈣二水合物

C08372293 L-抗壞血酸棕櫚酸酯,99%

C00535403 磷酸二氫鈣, CP

C16099494 3-(3,4-二羥基苯基)-2-甲基-L-丙氨酸倍半水合物,98%

C08255602 鈣黃綠素二鈉鹽,AR

C00505250 藥用硫酸鈣二水合物

C06802250 藥用草酸二水合物

C16076594 甘氨酰-L-酪氨酸水合物,98%

  • 商品編號
  • 購買數量