44444免费观看高清电视剧直播_z〇zoz〇女人另类zoz〇_色卡网站免费大全_19岁在线观看免费高清完整版韩剧

歡迎光臨南京試劑! 登錄| 注冊|
證券簡稱:南京試劑    證券代碼:833179
南京試劑-化學試劑,實驗試劑,分析試劑,試劑網
首頁 > 產品 > 試劑 > 通用試劑 > C16076394
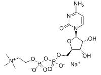
中文名稱胞磷膽堿鈉鹽 水合物 描述 胞磷膽堿鈉鹽 水合物,98%
英文名稱Citicoline sodium salt hydrate 品牌南試
別名:胞啶-5'-二膽堿磷酸自由酸
CAS編號: 33818-15-4
分子式:C14H25N4NaO11P2·xH2O
分子量:510.31
EINECS編號:251-689-1
MDL編號:MFCD00037486
商品編號 規格 銷售價格 折扣價格 可用庫存 單位 購買數量
C1607639467 98%, 1g ¥ 47.1 ¥ 47.1 預交貨期
3-7周

大包裝詢價
    • 用途: 中樞神經系統用藥
    • 熔點: 259-268℃
    • 比旋光度: D20 +12.5° (c = 1.0 in H2O)
    • 貯存: 儲存溫度-20℃
  • MSDS下載
    暫無數據
    安全信息
    符號:
    UN代碼: 0.0
    WGK德國: 3.0
  • 技術指標:

    • 含量 -------- 98%

    技術支持:

    我們的專家團隊在化學試劑、藥用輔料、催化劑及助劑、定制化學品以及其他各種研究領域都擁有豐富的經驗。

    聯系客服

    大包裝訂購與詢價:

    您的研發、生產或科研需要大批量訂購?

    大包裝訂購與詢價聯系客服

  • 如果沒有找到,請【聯系客服】
相關產品推薦

C16076394 胞磷膽堿鈉鹽 水合物,98%

C08269294 胞啶-5'-二磷酸 二鈉鹽,98%

C06814506 胞苷酸,BR,94%

C04605306 胞嘧啶,BR

C05301693 胞苷, 99%

C09957493 檸檬酸二氫膽堿,99%

C09945394 DL-酒石酸氫膽堿, 98%

C09945494 甘油磷酸膽堿, 98%

C04615995 5-氟胞嘧啶,97%

C04615993 5-氟胞嘧啶,99%(HPLC)

  • 商品編號
  • 購買數量