44444免费观看高清电视剧直播_z〇zoz〇女人另类zoz〇_色卡网站免费大全_19岁在线观看免费高清完整版韩剧

歡迎光臨南京試劑! 登錄| 注冊|
證券簡稱:南京試劑    證券代碼:833179
南京試劑-化學試劑,實驗試劑,分析試劑,試劑網
首頁 > 產品 > 試劑 > 通用試劑 > C16066094
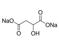
中文名稱DL-蘋果酸二鈉水合物 描述 DL-蘋果酸二鈉水合物
英文名稱Disodium DL-Malate Hydrate 品牌南試
別名:DL-蘋果酸二鈉 水合物
CAS編號: 676-46-0
分子式:C4H4Na2O5·xH2O
分子量:178.05
EINECS編號:211-627-6
MDL編號:MFCD00012466
商品編號 規格 銷售價格 折扣價格 可用庫存 單位 購買數量
C1606609443 25g ¥ 46.0 ¥ 46.0 預交貨期
3-7周

大包裝詢價
    • 用途: 用作緩沖劑、調味劑、代鹽劑
    • 熔點: >300℃
    • 比旋光度: [α]D20 0±0.5° (c=4, H2O)
    • 貯存: Store below +30℃.
  • MSDS下載
    暫無數據
    安全信息
    符號:
    WGK德國: 3.0
  • 技術指標:

    技術支持:

    我們的專家團隊在化學試劑、藥用輔料、催化劑及助劑、定制化學品以及其他各種研究領域都擁有豐富的經驗。

    聯系客服

    大包裝訂購與詢價:

    您的研發、生產或科研需要大批量訂購?

    大包裝訂購與詢價聯系客服

  • 如果沒有找到,請【聯系客服】
相關產品推薦

C16066094 DL-蘋果酸二鈉水合物

C06815702 DL-蘋果酸,AR,99.5%

C06820793 L(-)-蘋果酸,99%(HPLC)

C06818593 D-蘋果酸,99%

C01335350 藥用磷酸二氫鈉二水合物

C01335351 藥用磷酸二氫鈉二水合物

C01338051 藥用磷酸氫二鈉二水合物

C01335450 藥用磷酸二氫鈉一水合物

C01335550 藥用磷酸氫二鈉十二水合物

C01335551 藥用磷酸氫二鈉十二水合物

  • 商品編號
  • 購買數量