44444免费观看高清电视剧直播_z〇zoz〇女人另类zoz〇_色卡网站免费大全_19岁在线观看免费高清完整版韩剧

歡迎光臨南京試劑! 登錄| 注冊|
證券簡稱:南京試劑    證券代碼:833179
南京試劑-化學試劑,實驗試劑,分析試劑,試劑網
首頁 > 產品 > 試劑 > 通用試劑 > C14615172
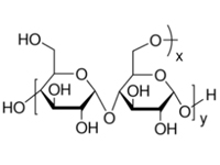
中文名稱玉米糊精 描述 玉米糊精,MD20
英文名稱Maltodextrin 品牌南試
別名:麥芽糖糊精;
CAS編號: 9050-36-6
分子式:(C6H10O5)n·xH2O
EINECS編號:232-940-4
MDL編號:MFCD00146679
商品編號 規格 銷售價格 折扣價格 可用庫存 單位 購買數量
C1461517235 MD20, 100g ¥ 25.9 ¥ 25.9 4

C1461517223 MD20, 500g ¥ 39.1 ¥ 39.1 1

大包裝詢價
    • 產品介紹: 白色或淺黃色粉末
    • 用途: 抗結晶和自由流動劑;成型劑;加工助劑;增容填充劑;穩定劑和增稠劑;表面拋光劑。用于糖果、焙烤制品、布丁等。
    • 熔點: 240℃
    • 沸點: 527.1℃
    • 密度: 1.581
  • MSDS下載
    暫無數據
    安全信息
    符號:
    安全聲明: S24/25
    WGK德國: 3
  • 技術指標:

    • 等級 -------- MD20

    技術支持:

    我們的專家團隊在化學試劑、藥用輔料、催化劑及助劑、定制化學品以及其他各種研究領域都擁有豐富的經驗。

    聯系客服

    大包裝訂購與詢價:

    您的研發、生產或科研需要大批量訂購?

    大包裝訂購與詢價聯系客服

  • 如果沒有找到,請【聯系客服】
相關產品推薦

C14615172 玉米糊精,MD20

C14601102 糊精, AR

C07115594 反-玉米素

C14615100 β-環糊精,特規

C14615294 α-環糊精,98%

C14615394 γ-環糊精, 98%

  • 商品編號
  • 購買數量