44444免费观看高清电视剧直播_z〇zoz〇女人另类zoz〇_色卡网站免费大全_19岁在线观看免费高清完整版韩剧

歡迎光臨南京試劑! 登錄| 注冊|
證券簡稱:南京試劑    證券代碼:833179
南京試劑-化學試劑,實驗試劑,分析試劑,試劑網
首頁 > 產品 > 試劑 > 通用試劑 > C09916493
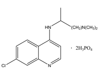
中文名稱磷酸氯喹 描述 磷酸氯喹
英文名稱Chloroquine Phosphate 品牌南試
CAS編號: 50-63-5
分子式:C18H26ClN3·2H3PO4
分子量:515.86
EINECS編號:200-055-2
MDL編號:MFCD00069852
商品編號 規格 銷售價格 折扣價格 可用庫存 單位 購買數量
C0991649351 5g ¥ 299.1 ¥ 299.1 預交貨期
3-7周

大包裝詢價
    • 用途: DNA嵌入劑。還可用于提高轉染效率。 氯喹二磷酸鹽已用于: · 體外抗瘧原蟲試驗 · 轉染及感染試驗 · 自噬抑制 · 誘導多能干細胞(iPS)分化成心肌細胞 · 感染血液的流動治療
    • 熔點: 199℃
    • 可溶性: DMSO <1 mg/mL Water 100 mg/mL Ethanol <1 mg/mL
    • 貯存: -20℃儲存
  • MSDS下載
    暫無數據
    安全信息
    符號: GHS07
    危險聲明: H302,
    WGK德國: 3.0
  • 技術指標:

    技術支持:

    我們的專家團隊在化學試劑、藥用輔料、催化劑及助劑、定制化學品以及其他各種研究領域都擁有豐富的經驗。

    聯系客服

    大包裝訂購與詢價:

    您的研發、生產或科研需要大批量訂購?

    大包裝訂購與詢價聯系客服

  • 如果沒有找到,請【聯系客服】
相關產品推薦

C09916493 磷酸氯喹

C09946594 硫酸羥基氯喹,98%

C18037794 2-氯喹啉-5-羧酸

C06135994 2,3二氯喹喔啉,98%

C18145995 氯磷酸二苯酯, 97%

C08372195 2-氯喹唑啉-6-羧酸甲酯,97%

C06101102 喹啉,AR,98%

C06801900 磷酸,特規

C06801901 磷酸,GR,85%

C06801902 磷酸,AR,85%

  • 商品編號
  • 購買數量