44444免费观看高清电视剧直播_z〇zoz〇女人另类zoz〇_色卡网站免费大全_19岁在线观看免费高清完整版韩剧

歡迎光臨南京試劑! 登錄| 注冊|
證券簡稱:南京試劑    證券代碼:833179
南京試劑-化學試劑,實驗試劑,分析試劑,試劑網
首頁 > 產品 > 試劑 > 通用試劑 > C09901603
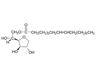
中文名稱司班80 描述 司班80,CP
英文名稱Span 80 品牌南試
別名:失水山梨醇單油酸酯;山梨醇酐單油酸酯
CAS編號: 1338-43-8
分子式:C24H44O6
分子量:428.61
EINECS編號:215-665-4
MDL編號:MFCD00080948
商品編號 規格 銷售價格 折扣價格 可用庫存 單位 購買數量
C0990160331 CP, 250g(玻瓶) ¥ 29.4 ¥ 29.4 >10

大包裝詢價
    • 產品介紹: 司班80是一種可生物降解的表面活性劑,基于天然脂肪酸(油酸)和糖醇山梨糖醇。這個山梨糖醇酯能形成高效的??油/水型乳化劑,特別是和聚乙氧基化衍生物--吐溫80組合使用時尤為如此。化學基團:非離子表面活性劑-脫水山梨醇酯和乙氧基化脫水山梨醇酯脂肪酸組成:油酸(C18:1)≤60%;其余物主要是亞油酸(C18:2),亞麻酸(C18:3)和棕櫚酸(C16:0)。
    • 用途: 良好的水包油型乳化劑。氣相色譜固定液(最高使用溫度150℃,溶劑為甲醇),分離分析含氧化合物。穩定劑。食品、化妝品、藥物用增稠劑。紡織工業用纖維潤滑劑和軟化劑。
    • 密度: 0.99
    • 可溶性: 溶于礦物油、棉籽油、甲醇、乙醇、異丙醇和乙二醇,不溶于水和丙二醇。
    • 折射率: 1.48
    • 貯存: 密封保存。
  • MSDS下載
    暫無數據
    安全信息
    符號:
    WGK德國: 1
  • 技術指標:

    • 等級 -------- CP

    技術支持:

    我們的專家團隊在化學試劑、藥用輔料、催化劑及助劑、定制化學品以及其他各種研究領域都擁有豐富的經驗。

    聯系客服

    大包裝訂購與詢價:

    您的研發、生產或科研需要大批量訂購?

    大包裝訂購與詢價聯系客服

  • 如果沒有找到,請【聯系客服】
相關產品推薦

C09901603 司班80,CP

C09901503 司班60,CP

C09902203 司班20, CP

C06807300 80%乙酸,特規

C07805103 吐溫80,CP

C05505402 水合肼,80%,AR

C09918893 利伐沙班,99%

C09919493 阿哌沙班

C01535400 中性氧化鋁,80-150目, 特規

C01535402 中性氧化鋁,80-150目, AR

  • 商品編號
  • 購買數量