44444免费观看高清电视剧直播_z〇zoz〇女人另类zoz〇_色卡网站免费大全_19岁在线观看免费高清完整版韩剧

歡迎光臨南京試劑! 登錄| 注冊|
證券簡稱:南京試劑    證券代碼:833179
南京試劑-化學試劑,實驗試劑,分析試劑,試劑網
首頁 > 產品 > 試劑 > 分析試劑 > C08905111
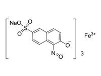
中文名稱萘酚綠 描述 萘酚綠,BS
英文名稱Naphthol Green B 品牌南試
別名:酸性綠Ⅰ;顏料綠
CAS編號: 19381-50-1
分子式:C30H15FeN3Na3O15S3
分子量:878.5
EINECS編號:243-010-2
MDL編號:MFCD00003886
商品編號 規格 銷售價格 折扣價格 可用庫存 單位 購買數量
C0890511143 BS, 25g ¥ 67.1 ¥ 67.1 點擊訂購

大包裝詢價
    • 產品介紹: 溶解度:30MG/ML水;0.9MG/ML乙醇;9MG/ML乙二醇單乙醚。
    • 用途: 生物染色,絡合指示劑。萘酚綠B能與酸性鉻藍K組成了混合指示劑-KB指示劑,使其顏色變化更敏銳,由紫紅變為藍綠
    • 密度: 1.477
    • 可溶性: 溶于水、乙醇和乙二醇單乙醚。
    • 貯存: 密封避光保存。
  • MSDS下載
    暫無數據
    安全信息
    符號:
    安全聲明: 22;24/25
    WGK德國: 1
  • 技術指標:

    • 等級 -------- BS

    技術支持:

    我們的專家團隊在化學試劑、藥用輔料、催化劑及助劑、定制化學品以及其他各種研究領域都擁有豐富的經驗。

    聯系客服

    大包裝訂購與詢價:

    您的研發、生產或科研需要大批量訂購?

    大包裝訂購與詢價聯系客服

  • 如果沒有找到,請【聯系客服】
相關產品推薦

C08905111 萘酚綠,BS

C04801202 1-萘酚,AR,99%

C04801303 2-萘酚,CP

C07638430 兒萘酚硼烷, 1M(GC)

C06845702 1-氨基-2-萘酚-4-磺酸,AR

C07656199 α-萘酚醌苯基甲烷,90%

C04845202 1-(2-吡啶偶氮)-2-萘酚,AR,90%

C13100102 萘,AR

C08905211 燦爛綠,BS

C08915203 孔雀石綠,CP

  • 商品編號
  • 購買數量