44444免费观看高清电视剧直播_z〇zoz〇女人另类zoz〇_色卡网站免费大全_19岁在线观看免费高清完整版韩剧

歡迎光臨南京試劑! 登錄| 注冊|
證券簡稱:南京試劑    證券代碼:833179
南京試劑-化學試劑,實驗試劑,分析試劑,試劑網
首頁 > 產品 > 試劑 > 分析試劑 > C08505305
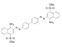
中文名稱剛果紅 描述 剛果紅,IND
英文名稱Congo Red 品牌南試
別名:直接紅28;剛果紅4B;棉紅B;棉紅C;煮大紅;直接紅R;直接紅Y
CAS編號: 573-58-0
分子式:C32H22N6O6S2Na2
分子量:696.7
EINECS編號:209-358-4
MDL編號:MFCD00004028
商品編號 規格 銷售價格 折扣價格 可用庫存 單位 購買數量
C0850530543 IND, 25g ¥ 52.9 ¥ 52.9 >10

大包裝詢價
    • 產品介紹: 溶于水呈黃紅色,溶于水呈黃紅色,溶于乙醇呈橙色,極微溶于丙酮,幾乎不溶于乙醚。最大吸收波長(pH7.3)488nm(E1cm1%)595。半數致死量(大鼠,靜脈)190mg/kg。
    • 用途: 酸堿指示劑[pH3.0(藍紫)-5.0(紅)],吸附指示劑,沉淀蛋白質,檢測胃液中的游離鹽酸、胚胎切片、植物粘蛋白、纖維素、彈性組織等染色,測定硼酸、氰化物和鹽酸等。
    • 熔點: >360℃
    • 可溶性: 溶于水,極微溶于丙酮,幾乎不溶于乙醚。
    • 貯存: 密封保存。
  • MSDS下載
    暫無數據
    安全信息
    符號: GHS08
    信號詞: Danger
    危險聲明: H350,H361d
    警示性聲明: P201,P281,P308+P313
    危害碼: T
    風險聲明: R45;R63
    安全聲明: S53;S45
    WGK德國: 3
  • 技術指標:

    • 等級 -------- IND

    技術支持:

    我們的專家團隊在化學試劑、藥用輔料、催化劑及助劑、定制化學品以及其他各種研究領域都擁有豐富的經驗。

    聯系客服

    大包裝訂購與詢價:

    您的研發、生產或科研需要大批量訂購?

    大包裝訂購與詢價聯系客服

  • 如果沒有找到,請【聯系客服】
相關產品推薦

C08505305 剛果紅,IND

  • 商品編號
  • 購買數量