44444免费观看高清电视剧直播_z〇zoz〇女人另类zoz〇_色卡网站免费大全_19岁在线观看免费高清完整版韩剧

歡迎光臨南京試劑! 登錄| 注冊|
證券簡稱:南京試劑    證券代碼:833179
南京試劑-化學試劑,實驗試劑,分析試劑,試劑網
首頁 > 產品 > 試劑 > 通用試劑 > C08355203
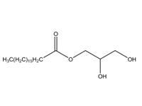
中文名稱單硬脂酸甘油酯 描述 單硬脂酸甘油酯,CP
英文名稱Monostearin 品牌南試
別名:甘油單硬脂酸酯;單硬脂酸消旋甘油酯;硬脂酸甘油酯;十八碳酸甘
CAS編號: 123-94-4
分子式:C17H35COOCH2CH(OH)CH2OH
分子量:358.56
EINECS編號:204-664-4
MDL編號:MFCD00036186
商品編號 規格 銷售價格 折扣價格 可用庫存 單位 購買數量
C0835520335 CP, 100g ¥ 28.0 ¥ 28.0 >10

大包裝詢價
    • 產品介紹: 有愉快的氣味,有脂肪味。能溶于熱的有機溶劑,如醚、苯、丙酮和礦物油,不溶于水。但在少量表面活性劑存在下,能在熱水中分散。半數致死量(小鼠,腹腔)200mg/kg。商品常為甘油單硬脂酸酯和甘油單軟脂酸酯的混合物。單甘酯為油包水型乳化劑,在熱水中經強烈震蕩而乳化。分子蒸餾單甘酯比粗甘酯純度高、顏色潔白、乳化效果好。其乳化和保鮮效果比粗單甘酯高兩倍,對面包直鏈淀粉復合指數可從粗單甘酯的28提高到92。
    • 用途: 生化研究,人造奶油的增稠,油類和蠟等的溶劑,乳化劑,吸濕性粉末的保護劑,不透明遮光劑。氣相色譜固定液(最高使用溫度125℃,溶劑為熱乙醇),分離分析含氧化合物及揮發油。
    • 熔點: 70℃
    • 密度: 0.958
    • 可溶性: 能溶于熱的有機溶劑,如醚、苯、丙酮和礦物油,不溶于水
    • 貯存: 儲存溫度-20℃。
  • MSDS下載
    暫無數據
    安全信息
    符號:
    WGK德國: 1
  • 技術指標:

    • 等級 -------- CP

    技術支持:

    我們的專家團隊在化學試劑、藥用輔料、催化劑及助劑、定制化學品以及其他各種研究領域都擁有豐富的經驗。

    聯系客服

    大包裝訂購與詢價:

    您的研發、生產或科研需要大批量訂購?

    大包裝訂購與詢價聯系客服

  • 如果沒有找到,請【聯系客服】
相關產品推薦

C08355203 單硬脂酸甘油酯,CP

C06807103 硬脂酸,CP

C06810800 硬脂酸,40%

C01118503 硬脂酸鉀,CP

C01515303 硬脂酸鋁,CP

C01915203 硬脂酸鎂,CP

C03115202 硬脂酸鋅,AR

C03115203 硬脂酸鋅,CP

C01416103 硬脂酸鋰,CP

C01536503 雙硬脂酸鋁,CP

  • 商品編號
  • 購買數量