44444免费观看高清电视剧直播_z〇zoz〇女人另类zoz〇_色卡网站免费大全_19岁在线观看免费高清完整版韩剧

歡迎光臨南京試劑! 登錄| 注冊|
證券簡稱:南京試劑    證券代碼:833179
南京試劑-化學試劑,實驗試劑,分析試劑,試劑網
首頁 > 產品 > 試劑 > 通用試劑 > C08336703
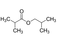
中文名稱乙酸異丁酯 描述 乙酸異丁酯,CP,98% (危化品)
英文名稱Isobutyl acetate 品牌南試
別名:醋酸異丁酯
CAS編號: 110-19-0
分子式:CH3COOCH2CH(CH3)2
分子量:116.16
EINECS編號:203-745-1
MDL編號:MFCD00008932
商品編號 規格 銷售價格 折扣價格 可用庫存 單位 購買數量
C0833670324 CP, 98%, 500ml(玻瓶) ¥ 68.2 ¥ 68.2 >10

大包裝詢價
    • 產品介紹: 有水果香味。易溶于乙醇、乙醚和烴類,溶于180份水,與醇.醚及烴類等多種有機溶劑混溶.20℃時在水中溶解0.67%,水在其中溶解1.64%,有刺激性。
    • 用途: 有機溶劑、硝化纖維及漆的溶劑、萃取劑、脫水劑。用火棉膠、硝化纖維、清漆、人造革、醫藥、塑料以及香料工業中。
    • 熔點: -99℃
    • 沸點: 118℃
    • 密度: 0.867
    • 可溶性: 微溶于水,可混溶于乙醇、乙醚。
    • 折射率: 1.39
    • 貯存: 密封陰涼保存
    • 備注: (危化品)
  • MSDS下載
    暫無數據
    安全信息
    符號: GHS02
    信號詞: Danger
    危險聲明: H225
    警示性聲明: P210
    危害碼: F
    風險聲明: R11;R66
    安全聲明: S16;S23;S25;S33
    UN代碼: 1213.0
    WGK德國: 1.0
  • 技術指標:

    • 等級 -------- CP
    • 含量 -------- 98%

    技術支持:

    我們的專家團隊在化學試劑、藥用輔料、催化劑及助劑、定制化學品以及其他各種研究領域都擁有豐富的經驗。

    聯系客服

    大包裝訂購與詢價:

    您的研發、生產或科研需要大批量訂購?

    大包裝訂購與詢價聯系客服

  • 如果沒有找到,請【聯系客服】
相關產品推薦

C08336703 乙酸異丁酯,CP,98%

C08358894 異丁酰乙酸甲酯,98%

C08347394 異丁酸異丁酯,98%

C18145197 亞硝酸異丁酯

C08338493 乙酸異辛酯,99%(GC)

C08337503 乙酸異丙酯,CP

C08337502 乙酸異丙酯,AR,99%

C18145593 乙酸異丙烯酯

C08339793 氰乙酸丁酯,99%

C08315102 乙酸丁酯,AR

  • 商品編號
  • 購買數量