44444免费观看高清电视剧直播_z〇zoz〇女人另类zoz〇_色卡网站免费大全_19岁在线观看免费高清完整版韩剧

歡迎光臨南京試劑! 登錄| 注冊|
證券簡稱:南京試劑    證券代碼:833179
南京試劑-化學試劑,實驗試劑,分析試劑,試劑網
首頁 > 產品 > 試劑 > 生化試劑 > C07405706
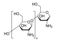
中文名稱殼聚糖 描述 殼聚糖,BR
英文名稱Chitosan 品牌南試
CAS編號: 9012-76-4
分子式:(C6H11NO4)n
分子量:161.16
MDL編號:MFCD00161512
商品編號 規格 銷售價格 折扣價格 可用庫存 單位 購買數量
C0740570635 BR, 100g ¥ 84.7 ¥ 84.7 3

大包裝詢價
    • 產品介紹: 幾乎不溶于水,但溶于甲酸、乙酸、苯甲酸和環烷酸等有機酸以及稀無機酸。工業品為白色或灰白色的半透明片狀固體,略帶珍珠光澤。無味、無毒、易降解,是少有的天然陽離子聚電解質。用強堿水解或酶解脫去甲殼素糖基上的乙酰基得到的多糖。能溶于低酸度水溶液,有良好的生物相容性,無抗原性,不溶于人體液體。由大約20%β-1,4-連接的N-乙酰-D-氨基葡萄糖(葡萄糖胺)和大約80%的β-1,4-連接的D-氨基葡萄糖組成。
    • 用途: 主要應用于食品、醫藥、農業種子、日用化工、工業廢水處理等行業。殼寡糖具有提高免疫、活化細胞、預防癌癥、降血脂、降血壓、抗衰老,調節機體環境等作用,可用于醫藥、保健、食品領域。在環保領域殼聚糖可用于污水處理,蛋白回收,水凈化等。功能材料領域,殼聚糖可用于膜材料、載體、吸附劑、纖維、醫用材料等。輕紡領域,殼聚糖可用于織物整理、保健內衣、造紙助劑等。農業領域可應用于飼料添加、種子處理、土壤改良、水果保鮮等。在煙草領域,殼聚糖是性能良好的煙草薄片膠,而且具有改善口感,燃燒無毒無異味等特點。
    • 貯存: 貯存在陰涼處,容器保持緊閉,儲存在干燥通風處。
  • MSDS下載
    暫無數據
    安全信息
    符號:
  • 技術指標:

    • 等級 -------- BR

    技術支持:

    我們的專家團隊在化學試劑、藥用輔料、催化劑及助劑、定制化學品以及其他各種研究領域都擁有豐富的經驗。

    聯系客服

    大包裝訂購與詢價:

    您的研發、生產或科研需要大批量訂購?

    大包裝訂購與詢價聯系客服

  • 如果沒有找到,請【聯系客服】
相關產品推薦

C07405706 殼聚糖,BR

C07401306 D+木糖,BS

C07405302 D-甘露糖,AR

C07415206 D+纖維二糖,BS,98%

C05315894 阿糖胞苷,98%

C07405994 D(+)-棉子糖,五水,98%(HPLC)

C07405806 L-鼠李糖,一水, BR

C07405606 二水合D+海藻糖, BS

C06915903 聚乙二醇1000,CP

C06916603 聚乙二醇300,CP

  • 商品編號
  • 購買數量