44444免费观看高清电视剧直播_z〇zoz〇女人另类zoz〇_色卡网站免费大全_19岁在线观看免费高清完整版韩剧

歡迎光臨南京試劑! 登錄| 注冊|
證券簡稱:南京試劑    證券代碼:833179
南京試劑-化學試劑,實驗試劑,分析試劑,試劑網
首頁 > 產品 > 試劑 > 通用試劑 > C07116097
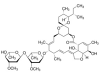
中文名稱伊維菌素 描述 伊維菌素
英文名稱Ivermectine 品牌南試
別名:MK-933
CAS編號: 70288-86-7
分子式:C48H74O14
分子量:875.09
EINECS編號:274-536-0
MDL編號:MFCD00869511
商品編號 規格 銷售價格 折扣價格 可用庫存 單位 購買數量
C0711609767 1g ¥ 179.1 ¥ 179.1 預交貨期
3-7周

大包裝詢價
    • 用途: 對治療和控制盤尼絲蟲病有效,不良反應低于乙胺嗪;抗寄生蟲病藥,對線蟲、鉤蟲、蛔蟲、蠕蟲、昆蟲和螨蟲均有驅蟲活性。
    • 可溶性: 水中溶解度約4μg/ml。極易溶于甲基乙基酮、丙二醇或聚丙二醇,不溶于飽和碳氫化物,如環己烷
    • 貯存: 2-8℃
  • MSDS下載
    暫無數據
    安全信息
    符號: GHS06,GHS09
    信號詞: Danger
    危險聲明: H300-H311-H410
    警示性聲明: P264-P270-P273-P280-P301+P310-P302+P352+P312
    WGK德國: 3.0
  • 技術指標:

    技術支持:

    我們的專家團隊在化學試劑、藥用輔料、催化劑及助劑、定制化學品以及其他各種研究領域都擁有豐富的經驗。

    聯系客服

    大包裝訂購與詢價:

    您的研發、生產或科研需要大批量訂購?

    大包裝訂購與詢價聯系客服

  • 如果沒有找到,請【聯系客服】
相關產品推薦

C07116097 伊維菌素

C07145397 磷酸泰樂菌素

C09919193 伊屈潑帕

C09916993 氟維司群

C09917995 維帕他韋

C09921094 卡維地洛,98%

C01339694 阿維巴坦鈉,98%

C09956493 甲磺酸伊馬替尼,99%

C07105102 熒光素,IND

C07105202 香蘭素,AR,99.5%

  • 商品編號
  • 購買數量