44444免费观看高清电视剧直播_z〇zoz〇女人另类zoz〇_色卡网站免费大全_19岁在线观看免费高清完整版韩剧

歡迎光臨南京試劑! 登錄| 注冊|
證券簡稱:南京試劑    證券代碼:833179
南京試劑-化學試劑,實驗試劑,分析試劑,試劑網
首頁 > 產品 > 試劑 > 通用試劑 > C04955297
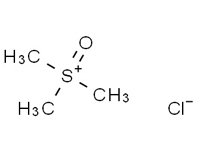
中文名稱三甲基氯化亞砜 描述 三甲基氯化亞砜
英文名稱Trimethylsulfoxonium Chloride 品牌南試
CAS編號: 5034-06-0
分子式:C3H9ClOS
分子量:128.61
EINECS編號:225-724-6
MDL編號:MFCD00011898
商品編號 規格 銷售價格 折扣價格 可用庫存 單位 購買數量
C0495529767 1g ¥ 32.0 ¥ 32.0 預交貨期
3-7周

大包裝詢價
    • 用途: 作為以下過程的反應物: · 葉立德聚合反應 · X-H插入 · 一鍋法順序加成 · 烯酮的環丙烷化反應 二甲基氧代亞甲基硫葉立德的前體。
    • 熔點: 240-242℃
    • 貯存: 密封保存
  • MSDS下載
    暫無數據
    安全信息
    符號:
    WGK德國: 3.0
  • 技術指標:

    技術支持:

    我們的專家團隊在化學試劑、藥用輔料、催化劑及助劑、定制化學品以及其他各種研究領域都擁有豐富的經驗。

    聯系客服

    大包裝訂購與詢價:

    您的研發、生產或科研需要大批量訂購?

    大包裝訂購與詢價聯系客服

  • 如果沒有找到,請【聯系客服】
相關產品推薦

C04955297 三甲基氯化亞砜

C04915102 氯化亞砜,AR,99%

C04915103 氯化亞砜,CP,98%

C04915100 氯化亞砜,特規

C04955194 三甲基溴化亞砜

C04915250 藥用二甲基亞砜

C04915251 藥用二甲基亞砜

C04965197 2-吡啶基三溴甲基砜,95%(HPLC)

C04915202 二甲亞砜,AR,99%

C04915203 二甲亞砜,CP,98%

  • 商品編號
  • 購買數量