44444免费观看高清电视剧直播_z〇zoz〇女人另类zoz〇_色卡网站免费大全_19岁在线观看免费高清完整版韩剧

歡迎光臨南京試劑! 登錄| 注冊|
證券簡稱:南京試劑    證券代碼:833179
南京試劑-化學試劑,實驗試劑,分析試劑,試劑網
首頁 > 產品 > 藥用輔料 > C04806350
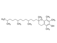
中文名稱藥用DL-α-生育酚 描述 藥用DL-α-生育酚
英文名稱DL-α-Tocopherol 品牌南試
別名:α-生育酚、維生素E
CAS編號: 10191-41-0
分子式:C29H50O2
分子量:430.71
EINECS編號:233-466-0
MDL編號:MFCD00072051
商品編號 規格 銷售價格 折扣價格 可用庫存 單位 購買數量
C0480635035 Chp:100g 點擊詢價 點擊訂購

大包裝詢價
    • 產品介紹: DL-α-生育酚為高親脂性化合物,是很多難溶性藥物的良好溶劑,亦作為抗氧劑使用。
    • 用途: 藥用輔料
    • 熔點: 2-4℃
    • 密度: 0.953
    • 比旋光度: -0.01°~+0.01°
    • 貯存: 惰性氣體保存,避光
  • MSDS下載
    暫無數據
    安全信息
    符號: GHS07
    信號詞: Warning
    危險聲明: H317
    警示性聲明: P261-P272-P280-P333+P313-P362+P364-P501
    危害碼: Xi
    風險聲明: R36/37/38
    安全聲明: S26-S37/39
    WGK德國: 1.0
  • 技術指標:

    技術支持:

    我們的專家團隊在化學試劑、藥用輔料、催化劑及助劑、定制化學品以及其他各種研究領域都擁有豐富的經驗。

    聯系客服

    大包裝訂購與詢價:

    您的研發、生產或科研需要大批量訂購?

    大包裝訂購與詢價聯系客服

  • 如果沒有找到,請【聯系客服】
相關產品推薦

C04806350 藥用DL-α-生育酚

C08367794 DL-α-生育酚乙酸酯,98%(GC)

C06838094 DL-α-氨基苯乙酸,98%(HPLC)

C06807650 藥用DL-酒石酸

C07656199 α-萘酚醌苯基甲烷,90%

C13405206 α-淀粉酶,BR

C06807602 DL-酒石酸,AR,99.5%

C04815302 百里香酚,AR,99%

C04815305 百里香酚,IND

C04806593 麥芽酚

  • 商品編號
  • 購買數量