44444免费观看高清电视剧直播_z〇zoz〇女人另类zoz〇_色卡网站免费大全_19岁在线观看免费高清完整版韩剧

歡迎光臨南京試劑! 登錄| 注冊|
證券簡稱:南京試劑    證券代碼:833179
南京試劑-化學試劑,實驗試劑,分析試劑,試劑網
首頁 > 產品 > 試劑 > 通用試劑 > C01347294
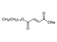
中文名稱硬脂富馬酸鈉 描述 硬脂富馬酸鈉,98%
英文名稱Sodium Stearyl Fumarate 品牌南試
CAS編號: 4070-80-8
分子式:C22H39NaO4
分子量:390.54
EINECS編號:223-781-1
商品編號 規格 銷售價格 折扣價格 可用庫存 單位 購買數量
C0134729443 98%, 25g ¥ 93.1 ¥ 93.1 預交貨期
3-7周

大包裝詢價
    • 用途: 面團調節劑;小麥粉處理劑;氧化劑。
    • 可溶性: Practically insoluble in water, slightly soluble in methanol, practically insoluble in acetone and in anhydrous ethanol.
    • 貯存: Inert atmosphere,Room Temperature
  • MSDS下載
    暫無數據
    安全信息
    符號:
    WGK德國: 3.0
  • 技術指標:

    • 含量 -------- 98%

    技術支持:

    我們的專家團隊在化學試劑、藥用輔料、催化劑及助劑、定制化學品以及其他各種研究領域都擁有豐富的經驗。

    聯系客服

    大包裝訂購與詢價:

    您的研發、生產或科研需要大批量訂購?

    大包裝訂購與詢價聯系客服

  • 如果沒有找到,請【聯系客服】
相關產品推薦

C01347294 硬脂富馬酸鈉,98%

C06806403 富馬酸,CP,99%

C02835394 富馬酸亞鐵

C01317803 硬脂酸鈉,CP

C06806400 富馬酸,反丁烯二酸,特規

C08348394 富馬酸二乙酯,98%

C08351793 富馬酸二甲酯,99%

C08352493 富馬酸單甲酯,99%(T)

C08352494 富馬酸單甲酯,98%(T)

C09956194 富馬酸沃諾拉贊

  • 商品編號
  • 購買數量