44444免费观看高清电视剧直播_z〇zoz〇女人另类zoz〇_色卡网站免费大全_19岁在线观看免费高清完整版韩剧

歡迎光臨南京試劑! 登錄| 注冊|
證券簡稱:南京試劑    證券代碼:833179
南京試劑-化學試劑,實驗試劑,分析試劑,試劑網
首頁 > 產品 > 試劑 > 通用試劑
CAS編號 產品圖片 品牌 產品描述 分子式 加入購物車
2067-33-6 5-溴戊酸,97%(GC) 南試 5-溴戊酸,97%(GC) C5H9BrO2
69655-76-1 八乙烯基-POSS,95% 南試 八乙烯基-POSS,95% C16H24O12Si8
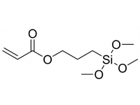
4369-14-6 丙烯酸3-(三甲氧硅基)丙酯,93% 南試 丙烯酸3-(三甲氧硅基)丙酯,93% C9H18O5Si
144-79-6 二苯基甲基氯硅烷,95% 南試 二苯基甲基氯硅烷,95% C13H13ClSi
1719-58-0 二甲基乙烯基氯硅烷,97% 南試 二甲基乙烯基氯硅烷,97% C4H9ClSi
17865-54-2 環己基三甲氧基硅烷,97% 南試 環己基三甲氧基硅烷,97% C9H20O3Si
6294-89-9 肼基甲酸甲酯,99%(GC) 南試 肼基甲酸甲酯,99%(GC) C2H6N2O2
10025-90-8 氯化鐠,七水,AR,99% 南試 氯化鐠,七水,AR,99% PrCl3·7H2O
10519-96-7 三甲基硅醇鉀,98% 南試 三甲基硅醇鉀,98% C3H9KOSi
2751-90-8 四苯基溴化磷,99%(HPLC) 南試 四苯基溴化磷,99%(HPLC) C24H20BrP
118-10-5 辛可寧,98%(T) 南試 辛可寧,98%(T) C19H22N2O
1308-96-9 氧化銪,5N,99.999% 南試 氧化銪,5N,99.999% Eu2O3
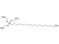
7399-00-0 正十八烷基三乙氧基硅烷,95% 南試 正十八烷基三乙氧基硅烷,95% C24H52O3Si
4668-00-2 三甲氧基氯硅烷,80%(GC) 南試 三甲氧基氯硅烷,80%(GC) C3H9ClO3Si
97483-77-7 5-溴-2-氰基吡啶,96%(HPLC) 南試 5-溴-2-氰基吡啶,96%(HPLC) C6H3BrN2
97-67-6 L(-)-蘋果酸,99%(HPLC) 南試 L(-)-蘋果酸,99%(HPLC) C4H6O5
2756-87-8 富馬酸單甲酯,99%(T) 南試 富馬酸單甲酯,99%(T) C5H6O4
1074-82-4 鄰苯二甲酰亞胺鉀,98%(HPLC) 南試 鄰苯二甲酰亞胺鉀,98%(HPLC) C8H4KNO2
298-12-4 乙醛酸50%水溶液,50% 南試 乙醛酸50%水溶液,50% OHCCOOH
56-33-7 1,1,3,3-四甲基-1,3-二苯基二硅氧烷,97%(GC) 南試 1,1,3,3-四甲基-1,3-二苯基二硅氧烷,97%(GC) C16H22OSi2
2627-97-6 1,3-二乙烯基-1,3-二甲基-1,3-二苯基二硅氧烷,95%(GC) 南試 1,3-二乙烯基-1,3-二甲基-1,3-二苯基二硅氧烷,95%(GC) C18H22OSi2
2488-01-9 1,4-二(二甲基硅烷基)苯,98%(GC) 南試 1,4-二(二甲基硅烷基)苯,98%(GC) C6H4[SiH(CH3)2]2
18052-76-1 1-萘基三甲氧基硅烷,95%(GC) 南試 1-萘基三甲氧基硅烷,95%(GC) C13H16O3Si
3069-42-9 十八烷基三甲氧基硅烷,98%(GC) 南試 十八烷基三甲氧基硅烷,98%(GC) C21H46O3Si
8014-95-7 發煙硫酸30%,AR 南試 發煙硫酸30%,AR (易制毒) H2SO4+xSO3
10519-96-7 三甲基硅醇鉀,97% 南試 三甲基硅醇鉀,97% C3H9KOSi
10043-52-4 無水氯化鈣,CP 南試 無水氯化鈣,CP CaCl2
1863-63-4 苯甲酸銨,ACS 南試 苯甲酸銨,ACS C6H5COONH4
7722-84-1 30%過氧化氫,ACS 南試 30%過氧化氫,ACS (易制爆) H2O2
2756-87-8 富馬酸單甲酯,98%(T) 南試 富馬酸單甲酯,98%(T) C5H6O4
  • 商品編號
  • 購買數量